 
          of loose powdery residue on the coating’s surface is known
        
        
          as chalking. The extent of chalking depends on the extent
        
        
          of the direct exposure to UV radiation, the intensity and the
        
        
          duration of the UV radiation, and the availability of water on
        
        
          the coating surface.
        
        
          1
        
        
          The two main FBE properties affected by chalking are
        
        
          thickness and flexibility. When chalking occurs, the coating
        
        
          itself is actually degrading, which leads to a loss in overall
        
        
          coating thickness over time. Historical observation suggests
        
        
          that this thickness loss typically begins within 9 - 18 months
        
        
          after chalking commences.
        
        
          2
        
        
          The typical rate of thickness loss
        
        
          due to chalking is 10 - 40 mm/y.
        
        
          Sections of pipe stockpiled in Alberta (Canada) and North
        
        
          Dakota (USA) were analysed for thickness and flexibility after
        
        
          16 - 21 months of exposure. Results showed a 25 - 50 mm
        
        
          thickness loss and a significant decrease in flexibility that
        
        
          failed the 2.5˚ pipe diameter flexibility requirements outlined
        
        
          in CSA Z245.20-98. No significant differences were observed
        
        
          regarding cathodic disbondment, adhesion or impact
        
        
          properties. From this study it was determined that FBE
        
        
          coatings should be protected in some manner if exposure to
        
        
          UV radiation for periods over one year is anticipated.
        
        
          UV protection options for FBE coated line pipe
        
        
          Many different practices are used in the coatings industry
        
        
          to help reduce the effects of chalking on FBE coatings. One
        
        
          popular option consists of shielding the FBE coating with a
        
        
          physical cover or tarp. This option provides good protection
        
        
          but can prove to be expensive and storing covers when not
        
        
          in use can be inconvenient. Tarps can be difficult to utilise
        
        
          over long stretches of pipe or in environments consistently
        
        
          exposed to high wind.
        
        
          Whitewashing the FBE coated pipe with a liquid UV
        
        
          resistant coating is a less expensive option, however the
        
        
          process must be completed offline of the FBE powder
        
        
          application process and can prove to be very messy. In
        
        
          addition, this process requires a long drying time before
        
        
          the pipe can be marked for identification. If the FBE coated
        
        
          pipe is stored for a great deal of time or used in above
        
        
          ground application, whitewashing often has to be repeated.
        
        
          Compatibility concerns also exist between whitewashing and
        
        
          FBE coatings.
        
        
          A simple and effective manner of building UV resistance
        
        
          in coatings is using a dual layer powder coating consisting
        
        
          of an FBE corrosion coat and a UV resistant top coat. The
        
        
          UV resistant top coat can be applied directly after the
        
        
          application of the FBE powder coating allowing for easy and
        
        
          clean applications, as well as good interlayer adhesion. Nap-
        
        
          Gard® Sol-Gard (PCW601S9) manufactured by Axalta Coating
        
        
          Systems is a UV resistant top coat suitable for protection
        
        
          over Nap-Gard single layer FBE or dual layer FBE systems.
        
        
          This fast curing, thermosetting polyester coating is capable of
        
        
          protecting FBE coatings from UV deterioration in both above
        
        
          ground applications or during storage.
        
        
          Design of Sol-Gard
        
        
          For approximately two decades, dual powder FBE systems for
        
        
          pipe coatings have been used in corrosion protection. Because
        
        
          the epoxy resins used in most standard FBE coatings are
        
        
          Bisphenol A (BisA) based, resin suppliers have limited choices
        
        
          in the tailoring of resin structure and properties, especially
        
        
          for UV resistance. But unlike BisA based epoxies, there are a
        
        
          variety of monomer choices for polyester resins that provide
        
        
          the optimal reactivity and other useful properties needed,
        
        
          such as hardness, flexibility, weatherability and gloss.
        
        
          FBE coating applications require certain speeds in order
        
        
          to be productive, which includes a quench time of usually
        
        
          less than 3 mins. To meet these requirements, the polyester
        
        
          powder top coat must meet the following criteria:
        
        
          )
        
        
          )
        
        
          High reactivity to meet application speed.
        
        
          )
        
        
          )
        
        
          Excellent exterior durability.
        
        
          )
        
        
          )
        
        
          Good flexibility for field bend during pipe installation.
        
        
          )
        
        
          )
        
        
          Good adhesion to corrosion protection layer.
        
        
          Application Procedure
        
        
          Polyester powder top coats are not designed to be corrosion
        
        
          protection coatings, and therefore should only be used in
        
        
          conjunction with single-layer FBE coatings. As with dual FBE
        
        
          powder systems, it is critical to follow the proper procedures
        
        
          for application in order to achieve the desired coating
        
        
          performance.
        
        
          )
        
        
          )
        
        
          Cleanliness: grit blast to NACE Near-White specifications
        
        
          (Swedish Standard Sa 2.5).
        
        
          )
        
        
          )
        
        
          Profile: grit blast to angular profile 50 - 112
        
        
          μ
        
        
          m.
        
        
          )
        
        
          )
        
        
          Application:
        
        
          y
        
        
          y
        
        
          Preheat the pipe to 232 - 253˚C (450 - 488˚F).
        
        
          y
        
        
          y
        
        
          Apply the single layer FBE or dual powder system using
        
        
          electrostatic spray or flocking application.
        
        
          y
        
        
          y
        
        
          Apply the Sol-Gard using electrostatic spray or flocking
        
        
          application immediately after the FBE or dual powder
        
        
          system. The basecoat must be at or above 218°C (425°F).
        
        
          A separate reclaim system is required to eliminate
        
        
          contamination of the FBE powder.
        
        
          y
        
        
          y
        
        
          Water quench the pipe after allowing sufficient time
        
        
          for proper cure.
        
        
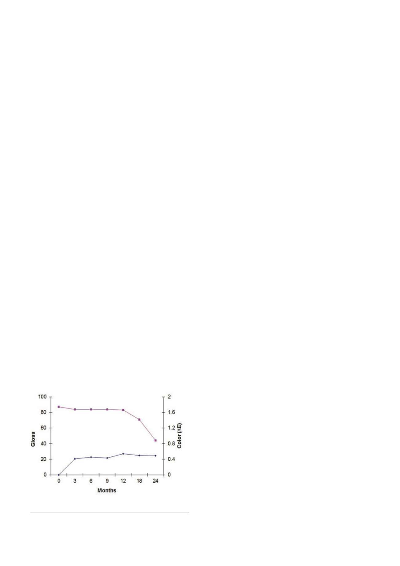
          Figure 1.
        
        
          Gloss and colour change after Florida weathering
        
        
          exposure.
        
        
          22
        
        
          
            World Pipelines
          
        
        
          /
        
        
          FEBRUARY 2016